首页
蛋白库
基因库
产品
会员服务
位置:
首页
>
产品库
> JD40
立即咨询
咨询类型:
采购
售后
*
姓名:
*
电话:
*
单位:
Email:
*
留言内容:
请详细说明您的需求。
我对您的JD40产品感兴趣,请发具体的信息及报价,谢谢!
*
验证码:
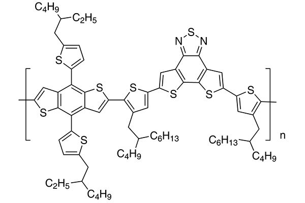
JD40
本产品不向个人销售,仅用作科学研究,不用于任何人体实验及非科研性质的动物实验。
规格:
Mw >30,000
分子式:
(C76H94N2S9)n
Poly{(4,8-bis(5-(2-ethylhexyl)thiophen-2-yl)-benzo[1,2-b:4,5-b']dithiophene-2,6-diyl)-alt-{5,8-[tributyl(4-(2-butyloctyl)thiophen)]dithieno-[3',2':3,4;2'',3'':5,6]benzo[1,2-c][1,2,5]thiadi-azole}}
产品用途:聚合物材料
Formula
(C76H94N2S9)n
UV
580 nm (in CHCl3)
HOMO
-5.28 eV
LUMO
-3.32 eV
Reference
J. Mater. Chem. A. 2021, 9 ,8975–8983.
维奥蛋白资源库 - 中文蛋白资源
CopyRight © 2010-2026