首页
蛋白库
基因库
产品
会员服务
位置:
首页
>
产品库
> MPA-Ph-CA
立即咨询
咨询类型:
采购
售后
*
姓名:
*
电话:
*
单位:
Email:
*
留言内容:
请详细说明您的需求。
我对您的MPA-Ph-CA产品感兴趣,请发具体的信息及报价,谢谢!
*
验证码:
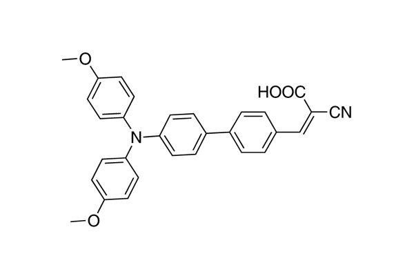
MPA-Ph-CA
本产品不向个人销售,仅用作科学研究,不用于任何人体实验及非科研性质的动物实验。
CAS NO:
1813558-55-2
规格:
>99%
分子式:
C30H24N2O4
分子量:
476.52
(Z)-3-(4'-(Bis(4-methoxyphenyl)amino)-[1,1'-biphenyl]-4-yl)-2-cyanoacrylic acid
产品用途:钙钛矿材料 >> 自组装单分子材料
Formula
C30H24N2O4
M.W.
476.52
HOMO
-5.39
LUMO
-2.64
Reference
ACS Materials Lett. 2022, 4, 1976−1983
维奥蛋白资源库 - 中文蛋白资源
CopyRight © 2010-2026