| CAS NO: | 88901-37-5 |
| 包装: | 10mg |
| 市场价: | 3087元 |
| Cas No. | 88901-37-5 |
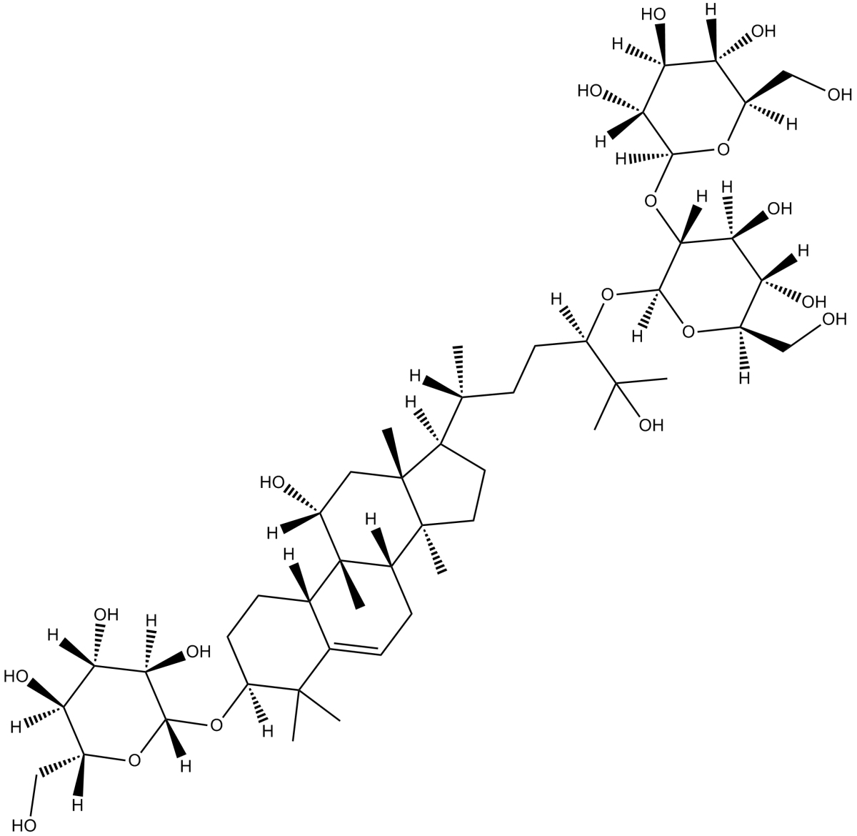
| 别名 | 罗汉果苷 III-E;罗汉果甜苷 III-E;罗汉果甙 III-E;罗汉果甜甙 III-E |
| 分子式 | C48H82O19 |
| 分子量 | 963.15 |
| 储存条件 | 4°C, protect from light |
| General tips | For obtaining a higher solubility , please warm the tube at 37 ℃ and shake it in the ultrasonic bath for a while. |
| Shipping Condition | Evaluation sample solution : ship with blue ice All other available size: ship with RT , or blue ice upon request |
| 产品描述 | Mogroside III-E is a cucurbitane-type compound isolated from Siraitia grosvenorii, inhibits NO release, with anti-fibrotic activity[1]. References: |
| 维奥蛋白资源库 - 中文蛋白资源 CopyRight © 2010-2026 |
